光線的光路計算及像差理論
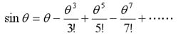
在幾何光學中,我們知道一個物點經折射面后不能夠完善成像,但若把光線限制在近軸范圍內,即 :
,則可認為物點成理想的像點 ,但

若該展開式中的高次項不忽略,就會出現不完善成像的情況——像差。
這些高次項正是導致像差的原因。

幾何像差
單色光:球差、彗差、像散、場曲、畸變
復色光:色差
從波動光學觀點看,這種像差稱為波差。
完全消除像、色差是不可能的,針對光學系統的不同用途,只要把像、色差降低在某范圍內,使光接收器不能分辨,或者說這種差別只要能騙過光接收器,就可以認為是理想的。
像差計算的譜線選擇原則:
根據光接收器的特性,譜線范圍 ,對準
單色像差,對準
校正色差。
例如人眼,

若使 兩光波的色差在一定范圍內,
光波的像差在一定范圍內——準理想成像系統。