暈動?。ㄟ\動病)的評估長期依賴主觀量表,存在個體差異大、一致性不足的局限性。第四軍事醫科大學與延安大學聯合研究團隊在國際期刊《Frontiers in Neurology》上發表的研究中,創新性地采用三恩時TS7600分光測色儀,通過量化膚色變化客觀評估暈動病嚴重程度,為這一領域提供了新的研究方法。

一、技術原理:從“面色蒼白”到精準數據
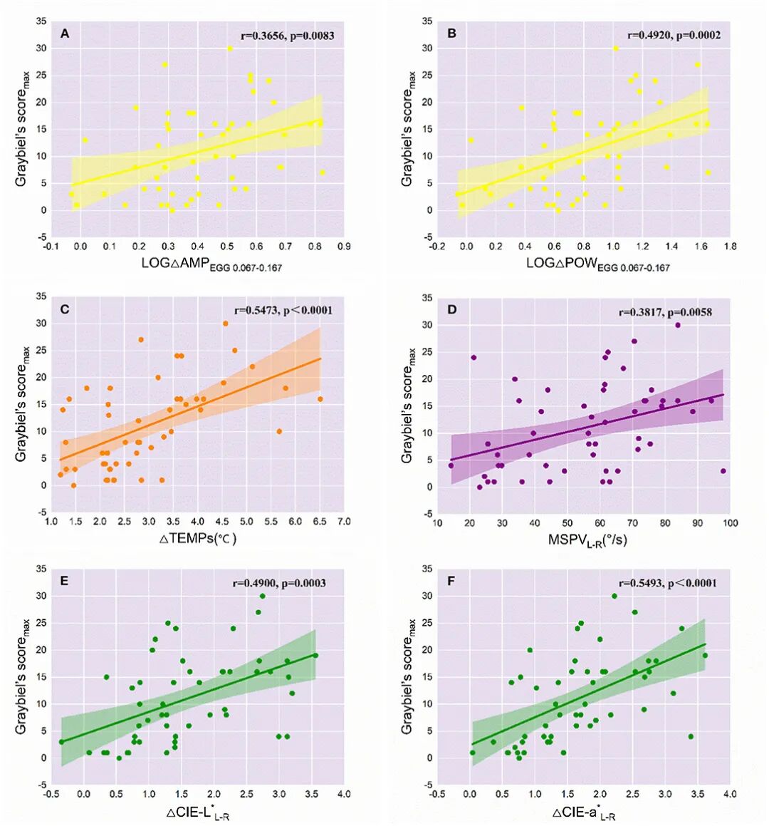
TS7600采用CIE-L*a*b*國際標準顏色系統,通過測量皮膚表面的L*值(明度)和a*值(紅綠度),將人眼主觀判斷的“臉色蒼白”這一癥狀轉化為客觀量化指標。
當暈動病發作時,血液重新分布導致面部血流變化,表現為臉頰皮膚L*值顯著上升(亮度增加,顯得蒼白),a*值明顯下降(紅色成分減少)。這種客觀測量有效避免了人眼觀察因光線、個體差異等因素帶來的誤差。

二、精準測量:為機器學習模型提供可靠輸入
TS7600的高精度特性(重復性精度ΔE≤0.03,臺間差ΔE≤0.15)確保了數據的準確性和可重復性。
在研究過程中,儀器測量的膚色數據與胃電活動、皮膚溫度、眼震等其他生理參數共同構成機器學習模型的數據特征。
基于這些多維數據建立的評估模型,其準確率達到88.24%,顯著提升了暈動病易感性評估的客觀性和準確性。

三、便攜設計:拓展現場篩查潛力
TS7600的便攜設計(尺寸129×76×217mm,重量約600g)使其不僅適用于實驗室環境,還能在駕駛艙、船艙等實際場景中進行現場數據采集。
這一特點為暈動病的現場快速篩查創造了條件,對飛行員、宇航員等特殊職業人員的選拔和健康監測具有重要價值。

四、行業價值:推動評估標準化與精準化
該技術的應用推動了暈動病評估從主觀描述向客觀量化的轉變。通過提供可靠、高效的膚色量化方案,TS7600不僅為臨床研究提供了新工具,也為特殊職業人員的選拔提供了科學依據。
這項研究展示了精密測量儀器在醫學領域的跨界應用潛力,為客觀評估生理狀態提供了創新性的解決方案。